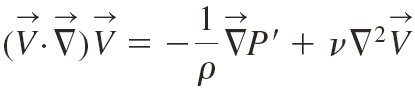
已搬家 殘值(Residual)誤差與收斂(Convergence) 2020-04-302022-09-16 iron0336gmailcom發表留言 在流體力學中最常見的兩條方程式(熱就再加上能量守恆): 連續方程式: Navier-Stokes: 文章搬家囉~ 由於個人懶得再處理SEO問題,後續文章都會發布在 方格子-熱流資訊站 歡迎舊雨新知持續造訪 分享此文: 分享到 X(在新視窗中開啟) X 分享到 Facebook(在新視窗中開啟) Facebook 喜歡 正在載入... 相關